来源:运城日报发布者:时间:2020-04-10
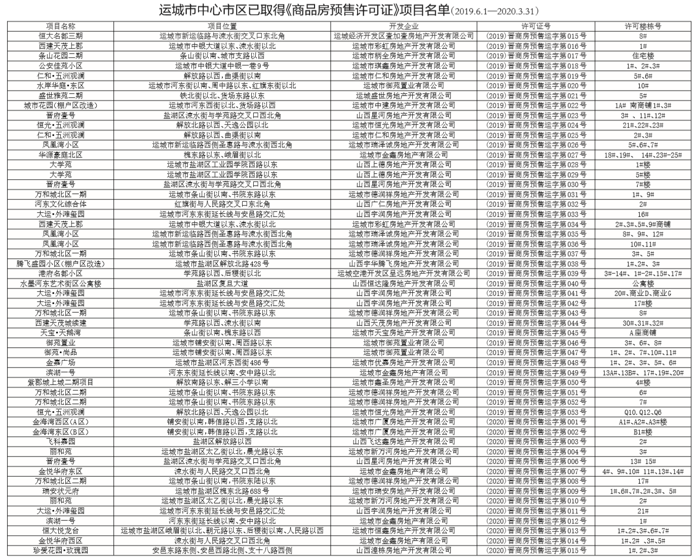
根据《城市商品房预售管理办法》、《商品房销售管理办法》、《山西省城市房地产交易管理条例》规定,商品房预售实行许可制度。开发企业进行商品房预售,应取得《商品房预售许可证》。未取得《商品房预售许可证》的项目楼栋,不得进行商品房预售,否则,将依据有关法律法规进行查处。
现将运城市中心市区2019年6月1日至2020年3月31日取得《商品房预售许可证》的项目予以公告,广大市民如需了解其它商品房项目预售许可信息,请查询运城市住房和城乡建设局网站(zjj.yuncheng.gov.cn)。对于发现违规预售商品房的,请及时向我局举报。
举报电话:
0359-12319(24小时热线)0359-2222809
运城市住房和城乡建设局
2020年4月9日

运城日报、运城晚报所有自采新闻(含图片)独家授权运城新闻网发布,未经允许不得转载或镜像;授权转载务必注明来源,例:“运城新闻网-运城日报 ”。
凡本网未注明“发布者:运城新闻网”的作品,均转载自其它媒体,转载目的在于传递更多信息,并不代表本网赞同其观点和对其真实性负责。